ΰµÂ¹ú¼Ê1946¹Ù·½Íø

ÊÖ³Öʽ¹âÆ×ÒÇÊÖ³ÖʽºÏ½ðÆÊÎöÒǺϽðÆÊÎöÒÇ
¹ÉƱ´úÂ룺300165 ÆóÒµÓÊÏä Ͷ×ÊÕß¹ØÏµ
ΤµÂ1946¡¤(ÖйúÇø)¹Ù·½ÍøÕ¾

ÇéÐμà/¼ì²â

ÄúÄ¿½ñËùÔÚÒ³£ºÊ×Ò³ > ½â¾ö¼Æ»® > ÇéÐμà/¼ì²â

WDX4000²â¶¨ÍÁÈÀ³Á»ýÎïÖÐÎÞ»úÔªËØÓ¦Óüƻ®

Ðû²¼ÈÕÆÚ£º2018/4/20 16:42:02  µã»÷´ÎÊý£º53730

1.СÐò

2015Äê12ÔÂ14ÈÕ £¬»·±£²¿Ðû²¼ÁË¡¶HJ 780-2015 ÍÁÈÀºÍ³Á»ýÎïÎÞ»úÔªËØµÄ²â¶¨¡ª¡ª²¨³¤É«É¢XÉäÏßÓ«¹â¹âÆ×·¨¡·£¨ÒÔϼò³Æ¡°HJ 780-2015¡±£© £¬ÕýʽȷÁ¢ÁËÍÁÈÀÖÐÎÞ»úÔªËØµÄ¼ì²âÒªÁì ¡£2016ÄêÖÐ £¬¹úÎñÔºÕýʽÏòÉç»á¹ûÕæ¡¶ÍÁÈÀÎÛȾ·ÀÖÎÐж¯ÍýÏë¡·£¨¡°ÍÁÊ®Ìõ¡±£©È«ÎÄ £¬ÖÜÈ«ÔöÇ¿ÍÁÈÀÎÛȾµÄÖÎÀí ¡£ÎªÅäºÏ¹ú¼Ò¿ªÕ¹ÍÁÈÀÄ¥Á·ºÍÖÎÀíÊÂÇé £¬Î°µÂ¹ú¼Ê1946¹Ù·½Íø£¨ÒÔϼò³Æ¡°Î°µÂ¹ú¼Ê1946¹Ù·½ÍøÒÇÆ÷¡±£©ÍƳöµÄWDX4000ÐͲ¨³¤É«É¢XÉäÏßÓ«¹â¹âÆ×ÒǼ°ÆäÏà¹ØÓ¦ÓÃÒªÁì £¬¿ÉÓÃÓڲⶨÍÁÈÀºÍ³Á»ýÎïÖÐ25ÖÖÎÞ»úÔªËØºÍ7ÖÖÑõ»¯Îï £¬Íêȫ֪×ãHJ 780-2015±ê×¼µÄʹÓÃÒªÇó ¡£

2.ÒÇÆ÷¼ò½é

WDX4000˳Ðòʽ²¨³¤É«É¢XÉäÏßÓ«¹â¹âÆ×ÒÇÊÇΰµÂ¹ú¼Ê1946¹Ù·½ÍøÒÇÆ÷¼ç¸ºµÄ¹ú¼ÒÖØ´ó¿ÆÑ§ÒÇÆ÷רÏîÏîÄ¿µÄÑо¿Ð§¹û £¬¾ßÓÐÍêÈ«µÄ×ÔÖ÷֪ʶ²úȨ ¡£WDX4000½ÓÄÉÁË´ó×ÚÁ¢ÒìÐÔºÍͨÓû¯µÄÉè¼Æ £¬ÅäÓÐ40λ×Ô¶¯½øÑùÆ÷ £¬ÐÔÄÜÓÅÒì £¬²Ù×÷ÇáÓ¯ ¡£

1£©²â½ÇÒÇ£ºÏ¸ÃÜË«Öá £¬¿É³ö¾ß¼ÆÁ¿²¿·ÖУ׼֤Êé ¡£

2£©¸ßѹ£º´ó¹¦ÂÊ¡Ý4kW £¬Çл»Ñ¸ËÙ £¬ÐÔÄÜÎÈ¹Ì £¬¹ÊÕÏÂʼ«µÍ ¡£

3£©¹â¹Ü£ºÏÂÕÕʽ £¬4kW £¬Rh°Ð £¬ÅäÌ×˫ͨµÀ¹â¹ÜË®Àäϵͳ £¬¼«´óÑÓÉì¹â¹ÜʹÓÃÊÙÃü £»

3£©ÂË¹âÆ¬£º5×é £¬ÓÅ»¯ÉèÖÃCu¡¢AlÂË¹âÆ¬ºÍ·À³¾ÂË¹âÆ¬ £»

4£©×¼Ö±Æ÷£º3¸ö £¬Öª×ã¿Í»§ÔÚÕÉÁ¿Î¢Á¿ÔªËØÊ± £¬¶ÔÇø·ÖÂʺÍÇ¿¶ÈµÄ×ÅÖØÑ¡Ôñ £»

5£©¾§Ì壺±êÅä5¿é¾§Ìå £¬Äܹ»Íê³ÉC6¡ªU92Ö®¼äÔªËØ¶¨ÐÔ¡¢¶¨Á¿µÄÆÊÎö £¬ÉÐÓÐÑ¡3¸ö¿Õλ¿É¹©¶¨ÖÆ £»

6£©Ì½²âÆ÷£ºÉÁ×ÆÌ½²âÆ÷ £¬´óÏßÐÔ¼ÆÊýÂÊ3000kcps £¬Á÷ÆøÌ½²âÆ÷ £¬´óÏßÐÔ¼ÆÊýÂÊ1500kcps £¬¾ßÓÐоÏß×Ô¶¯Ï´åª¹¦Ð§ £»

7£©×Ô¶¯½øÑùÆ÷£º40λȫ×ÔÄîͷеÊÖ½øÑùÆ÷ £»

8£©Ð°æ²Ù×÷Èí¼þ £¬ÓµÓÐÀíÂÛ a ϵÊýУÕý¡¢ÂÄÀú¦Á¡¢¦Â¡¢¦ÃϵÊýУÕý¡¢FP²ÎÊýУÕý¡¢Æ×ÏßÖØµþУÕý¡¢ÒÇÆ÷״̬¼à¿ØºÍǿʢµÄSqliteרÓÃÊý¾Ý¿âµÈ¹¦Ð§ £»

9£©¶ÀÍÌÕæ¿ÕÆøÂ·»º³åϵͳ £¬ÓÐÓñ £»¤±¡Ä¤ÐÍÑùÆ· £¬ÔÚ´óÆø¿ÅÁ£Îï¼ì²âÁìÓòÓ¦ÓÃÆÕ±é ¡£

ΤµÂ1946¡¤(ÖйúÇø)¹Ù·½ÍøÕ¾

ͼ 1 WDX4000ÒÇÆ÷Íâ¹Ûͼ

3.ʵÑ鲿·Ö

3.1     ʵÑéÔ­Àí

´ó¹¦Âʸßѹ¹â¹Ü·¢Éä³öµÄÔ­¼¶XÉäÏß £¬¾­ÓÉÂË¹âÆ¬ºó £¬ÕÕÉäµ½ÑùÆ·Íâò £¬Òý·¢³öÑùÆ·Öи÷ÔªËØµÄÌØÕ÷XÉäÏß ¡£ÌØÕ÷XÉäÏß¾­ÓÉÒ»´Î×¼Ö±Æ÷×¼Ö±ºóƽÐÐÈëÉäµ½·Ö¹â¾§ÌåÉÏ £»ÔÙÓɲâ½ÇÒÇɨÃè³öÇкϲ¼À­¸ñÑÜÉäÌõ¼þµÄÌØÕ÷XÉäÏß ¡£XÉäÏß¾­Óɶþ´Î×¼Ö±Æ÷ºó £¬½øÈë̽²âÆ÷¾ÙÐÐÐźÅÊÕÂÞ ¡£Í¨¹ýÅÌËã»úÈí¼þ´¦Öóͷ£ºóʵÏÖ¶¨ÐÔÆÊÎöºÍ¶¨Á¿ÆÊÎö ¡£

3.2     ×°±¸ºÍÊÔ¼Á

×°±¸£ºWDX4000£º²¨³¤É«É¢ÐÍXÉäÏßÓ«¹â¹âÆ×ÒÇ £»

ÆÊÎöÌìÆ½£º¾«¶È0.1mg £»

×Ô¶¯·ÛĩѹƬ»ú£ºÑ¹Á¦30¶Ö £¬±£Ñ¹Ê±¼ä30s £»

·Ç½ðÊôɸ£º¿×¾¶0.075mm £¬200Ä¿ ¡£

          ÊÔ¼Á£ºÅðËᣨH3BO3£©£ºÆÊÎö´¿ ¡£

ÍÁÈÀ±êÑù£ºÊÐÊÛÓÐÖ¤±êÑùGSS1¡ª¡ªGSS27 £»

3.3     ÑùƷǰ´¦Öóͷ£

ÍÁÈÀÑùÆ·µÄÊÕÂÞºÍÉúÑÄÆ¾Ö¤HJ/T 166Ö´ÐÐ £¬³Á»ýÎïÑùÆ·µÄÊÕÂÞºÍÉúÑÄÆ¾Ö¤GB17378.3ºÍGB17378.5Ö´ÐÐ ¡£ÑùÆ·µÄ·ç¸É»òºæ¸Éƾ֤HJ/5 166¼°GB17378.5Ïà¹Ø»®¶¨¾ÙÐвÙ×÷ ¡£ÑùÆ·ºæ¸Éºó £¬¶ÔÑùÆ·¾ÙÐÐÑÐÄ¥ £¬ºó¹ý200Ä¿·Ç½ðÊôɸ £¬ÓÚ105¡æºæ¸É±¸Óà ¡£

³ÆÁ¿5.0gÑùÆ·ÓÚѹƬ»úÄ£¾ßÖÐ £¬ÒÔÅðËáÏâ±ß¡¢µæµ× £¬ÔÚѹƬ»úÉÏÒÔ30¶ÖѹÁ¦ £¬±£Ñ¹30ÃëµÄÌõ¼þÑ¹ÖÆ³É¡Ý7mmµÄ±¡Æ¬ ¡£ÖƳÉÈçͼ 2¡¢Í¼ 3µÄ±¡Æ¬ ¡£ÑùÆ·ÍâòҪƽ»¬ £¬²»¿ÉÓзÛÄ©ÍÑÂä ¡£

ΤµÂ1946¡¤(ÖйúÇø)¹Ù·½ÍøÕ¾

ͼ2 ѹƬÑùÆ·ÕýÃæÍ¼

ΤµÂ1946¡¤(ÖйúÇø)¹Ù·½ÍøÕ¾

ͼ3 ѹƬÑùÆ·²àÃæÍ¼

3.4     ÊÂÇéÇúÏߵĽ¨ÉèºÍÑùÆ·ÕÉÁ¿

ÔÚÅäÌ×Èí¼þÖÐн¨ÍÁÈÀÊÂÇéÇø £¬ÉèÖÃHJ780-2015ÖÐ25ÖÖÎÞ»úÔªËØºÍ7ÖÖÑõ»¯Îï £¬Èí¼þ×Ô¶¯ÌìÉúÿ¸öÔªËØÏìÓ¦µÄ²âÊÔ²ÎÊý £¬È»ºó¶Ôÿ¸öÔªËØµÄÏÖʵ½Ç¶ÈºÍPHA²ÎÊý¾ÙÐе¥¶ÀÉ趨 ¡£ÒÇÆ÷²ÎÊýÉ趨Íê³Éºó £¬¶ÔÓÐÖ¤±êÑùÖðÒ»²âÊÔ £¬»ñµÃÿ¸öÔªËØµÄ¾»Ç¿¶È £¬±ã¿É½¨É躬Á¿ÓëÇ¿¶ÈµÄÊÂÇéÇúÏß ¡£ÍÁÈÀÒòËØ½ÏÎªÖØ´ó £¬ÔÚÄâºÏÇúÏßÀú³ÌÖÐ £¬Ðí¶àÔªËØÖ®¼ä±£´æÏ໥×ÌÈÅ £¬ÐèÒª¶ÔÆä×÷»ùÌå¡¢Æ×ÏßÖØµþµÈУÕý»ò½ÓÄÉÄڱ귨µÈÊÖ¶ÎÖØÐÂÄâºÏÇúÏß £¬»ñµÃÓÅÒìµÄÏßÐÔ¹ØÏµÇúÏß ¡£È»ºó¶ÔÑùÆ·¾ÙÐмì³öÏÞ¡¢×¼È·¶ÈºÍÎȹÌÐԵȷ½ÃæµÄ²âÊÔ ¡£

4.       ²âÊÔЧ¹û

4.1     ¼ì³öÏÞ

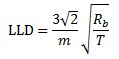
ƾ֤ËùÓÅ»¯µÄʵÑéÌõ¼þ £¬ÍÁÈÀÑùÆ·Öи÷ÆÊÎöÔªËØµÄ¼ì³öÏÞÈç REF _Ref511912484 \h ±í 1 £¬¼ì³öÏÞµÄÊýѧ±í´ïʽΪ£º

ΤµÂ1946¡¤(ÖйúÇø)¹Ù·½ÍøÕ¾

ʽÖУºmΪµ¥Î»º¬Á¿µÄ¼ÆÊýÂÊ £»RbΪÅä¾°¼ÆÊýÂÊ £»TΪ·åÖµºÍÅä¾°µÄ×ÜÕÉÁ¿Ê±¼ä£¨s£© ¡£Óɱí¿É¼û £¬ÎÞÂÛÊÇÑõ»¯ÎïÕվɺ¬Á¿¼«µÍÎÞ»úÔªËØ £¬¾ùÖª×ãHJ780-2015±ê×¼ÖжÔÍÁÈÀ¼ì³öÏ޵Ļ®¶¨ ¡£¼ì³öÏÞ±ê×¼¼û±ê×¼¸½Â¼A ¡£

±í 1¼ì³öÏÞ²âÊÔЧ¹û

ÐòºÅ

ÔªËØ/Ñõ»¯Îï

¼ì³öÏÞ

¼ì³öÏÞ±ê×¼

ÅжÏ

ÐòºÅ

ÔªËØ/Ñõ»¯Îï

¼ì³öÏÞ

¼ì³öÏÞ±ê×¼

ÅжÏ

1

Na2O

0.0468

0.05

¼°¸ñ

17

Ni

1.16

1.5

¼°¸ñ

2

MgO

0.0444

0.05

¼°¸ñ

18

Cu

1.08

1.2

¼°¸ñ

3

Al2O3

0.0632

0.07

¼°¸ñ

19

Zn

1.92

2

¼°¸ñ

4

SiO2

0.158

0.27

¼°¸ñ

20

Ga

1.52

2

¼°¸ñ

5

P

8.05

10

¼°¸ñ

21

As

1.78

2

¼°¸ñ

6

S

26.37

30

¼°¸ñ

22

Br

0.89

1

¼°¸ñ

7

Cl

18.52

20

¼°¸ñ

23

Rb

1.83

2

¼°¸ñ

8

K2O

0.0412

0.05

¼°¸ñ

24

Sr

1.90

2

¼°¸ñ

9

CaO

0.0816

0.09

¼°¸ñ

25

Y

0.81

1

¼°¸ñ

10

Sc

2.28

2.4

¼°¸ñ

26

Zr

1.89

2

¼°¸ñ

11

Ti

48.15

50

¼°¸ñ

27

Ba

8.63

11.7

¼°¸ñ

12

V

3.36

4

¼°¸ñ

28

La

9.82

10.6

¼°¸ñ

13

Cr

2.88

3

¼°¸ñ

29

Ce

23.85

24.1

¼°¸ñ

14

Mn

6.46

10

¼°¸ñ

30

Hf

1.52

1.7

¼°¸ñ

15

Fe2O3

0.0432

0.05

¼°¸ñ

31

Pb

1.73

2

¼°¸ñ

16

Co

1.09

1.6

¼°¸ñ

32

Th

1.74

2.1

¼°¸ñ

×¢£º1.ÔªËØÖÊÁ¿·ÖÊýµ¥Î»Îªmg/kg £»Ñõ»¯ÎïÖÊÁ¿·ÖÊýµ¥Î»Îª% £»

4.2     ׼ȷ¶È

ƾ֤±ê×¼ÒªÇó £¬¶ÔÿÅúÑùÆ·ÆÊÎöÓ¦ÖÁÉٲⶨ1¸öÍÁÈÀ»ò³Á»ýÎïµÄÓÐÖ¤±ê×¼ÎïÖÊ £¬Æä²â¶¨ÖµÓëÓÐÖ¤±ê×¼ÎïÖʵÄÏà¶ÔÎó²î±ØÐèÖª×ã¶ÔÓ¦Ìõ¼þ ¡£×¼È·¶ÈÅжϱê×¼¼ûHJ780-2015±ê×¼Öбí1 ¡£Ñ¡ÔñÓÐÖ¤±ê×¼ÎïÖÊGBW07408£¨GSS-8£©×÷׼ȷ¶È²âÊÔ ¡£²âÊÔЧ¹ûÈç REF _Ref511912462 \h ±í 2 ¡£±íÖÐËùÅÌËã´ó²¿·Ö׼ȷ¶ÈЧ¹û¾ùÔ¶µÍÓÚHJ780-2015ÖÐÃé׼ȷ¶ÈµÄÖ¸±êÖµ ¡£

±í׼ȷ¶È²âÊÔЧ¹û

ÐòºÅ

ÔªËØ/Ñõ»¯Îï

ÕÉÁ¿Öµ

±ê×¼Öµ

׼ȷ¶È

Åжϱê×¼

ÅжÏ

1

Na2O

1.76

1.72

0.00998

0.07

¼°¸ñ

2

MgO

2.348

2.38

0.0058

0.07

¼°¸ñ

3

Al2O3

11.62

11.92

0.011

0.05

¼°¸ñ

4

SiO2

58.93

58.61

0.0023

0.05

¼°¸ñ

5

P

791.31

775

0.009

0.1

¼°¸ñ

6

S

116.986

120

0.011

0.1

¼°¸ñ

7

Cl

87.344

70

0.096

0.1

¼°¸ñ

8

K2O

2.52

2.42

0.0175

0.07

¼°¸ñ

9

CaO

8.248

8.27

0.00115

0.07

¼°¸ñ

10

Sc

11.126

11.7

0.0218

0.1

¼°¸ñ

11

Ti

3642.136

3835.8

0.0225

0.1

¼°¸ñ

12

La

31.274

35.5

0.055

0.1

¼°¸ñ

13

Ba

444.23

480

0.0336

0.1

¼°¸ñ

14

V

72.55

81.4

0.0499

0.1

¼°¸ñ

15

Ce

56.1

66

0.0706

0.12

¼°¸ñ

16

Mn

659.448

650

0.0063

0.1

¼°¸ñ

17

Cr

69.66

68

0.0105

0.1

¼°¸ñ

18

Fe2O3

4.186

4.48

0.0295

0.07

¼°¸ñ

19

Co

14.174

12.7

0.0477

0.1

¼°¸ñ

20

Ni

28.692

31.5

0.0405

0.1

¼°¸ñ

21

Hf

7.164

7

0.01005

0.1

¼°¸ñ

22

Cu

25.49

24.3

0.0207

0.1

¼°¸ñ

23

Zn

68.144

68

0.00092

0.1

¼°¸ñ

24

Ga

15.54

14.8

0.0212

0.1

¼°¸ñ

25

As

15.096

12.7

0.075

0.1

¼°¸ñ

26

Br

2.102

2.6

0.092

0.12

¼°¸ñ

27

Pb

18.376

21

0.058

0.1

¼°¸ñ

28

Th

14.842

11.8

0.0996

0.1

¼°¸ñ

29

Rb

94.03

96

0.009

0.1

¼°¸ñ

30

Sr

236.892

236

0.0016

0.1

¼°¸ñ

31

Y

28.196

26

0.035

0.1

¼°¸ñ

32

Zr

243.124

229

0.026

0.1

¼°¸ñ

×¢£ºÔªËØÖÊÁ¿·ÖÊýµ¥Î»Îªmg/kg £»Ñõ»¯ÎïÖÊÁ¿·ÖÊýµ¥Î»Îª% ¡£

4.3     ÎȹÌÐÔ

Ñ¡ÔñijÑùÆ·¾ÙÐÐÎȹÌÐÔ²âÊÔ ¡£ÌìÌì²âÊÔÒ»´Î £¬Ò»Á¬²âÊÔÁ½ÖÜ £¬²âÊÔËùÓÐÔªËØµÄÏà¶Ô±ê×¼Îó²î¾ùÖª×ã±ê×¼HJ780-2015ÖйØÓÚÎȹÌÐÔµÄÒªÇó ¡£ÕªÈ¡²¿·Ö²âÊÔÊý¾ÝÁÐÓÚ±í 3 ¡£Åжϱê×¼¼ûHJ780-2015±ê×¼Öи½Â¼E.1 ¡£

±í3 ²¿·ÖÔªËØÎȹÌÐÔ²âÊÔÊý¾Ý

´ÎÊý\ÔªËØ

MgO

Fe2O3

P

S

Cl

As

Br

Pb

1

1.80

4.21

783.74

157.86

46.21

16.77

2.49

4.34

2

1.79

4.21

778.44

161.03

46.94

17.82

2.76

4.49

3

1.78

4.19

786.01

159.13

45.98

15.58

2.59

4.73

4

1.79

4.21

786.01

161.66

45.16

17.05

2.49

4.31

5

1.78

4.21

781.47

154.05

46.9

17.37

2.62

4.61

6

1.78

4.22

784.50

157.22

47.81

16.97

2.78

4.35

7

1.79

4.21

788.28

155.32

44.98

16.31

2.64

4.53

8

1.78

4.22

792.07

159.13

48.16

18.06

2.78

4.41

9

1.79

4.20

790.55

161.66

45.07

15.64

2.68

4.28

10

1.78

4.20

779.20

160.41

46.63

17.01

2.82

4.32

ƽ¾ùÖµ

1.78

4.21

785.70

158.74

46.38

16.66

2.67

4.44

±ê×¼Îó²î

0.007

0.009

4.53

2.63

1.11

1.02

0.12

0.15

RSD(%)

0.39

0.22

0.58

1.66

2.40

6.10

4.50

3.35

Åжϱê×¼

¡Ü0.4

¡Ü0.9

¡Ü1.2

¡Ü4.6

¡Ü2.6

¡Ü9.2

¡Ü8.3

¡Ü4.4

ÅжÏ

¼°¸ñ

¼°¸ñ

¼°¸ñ

¼°¸ñ

¼°¸ñ

¼°¸ñ

¼°¸ñ

¼°¸ñ

×¢£ºÔªËØÖÊÁ¿·ÖÊýµ¥Î»Îªmg/kg £»Ñõ»¯ÎïÖÊÁ¿·ÖÊýµ¥Î»Îª% ¡£

5.  ½áÂÛ

¼Æ»®Ê¹ÓÃWDX4000»®·Ö¶ÔÍÁÈÀ³Á»ýÎïÖÐÎÞ»úÔªËØ¾ÙÐÐÁ˼ì³öÏÞ¡¢×¼È·¶È¡¢ÎȹÌÐÔµÈÏîÄ¿µÄ²âÊÔ ¡£²âÊÔЧ¹ûÅú×¢WDX4000Íêȫ֪×ã»·±£²¿¡¶HJ 780-2015 ÍÁÈÀºÍ³Á»ýÎïÎÞ»úÔªËØµÄ²â¶¨¡ª¡ª²¨³¤É«É¢XÉäÏßÓ«¹â¹âÆ×·¨¡·±ê×¼µÄÒªÇó £¬ÍêÈ«¿ÉÓ¦ÓÃÓÚ»·±£²¿·Ö£¨ÍÁÈÀÖÊÁ¿×´Ì¬µÄÆÊÎöÓëÆÀ¹À£©¡¢ÍÁÈÀÖÎÀíÐÞ¸´ÆóÒµ£¨Îª½ÓÄɾßÓÐÕë¶ÔÐÔµÄÖÎÀí¼Æ»®Ìṩ¿É¿¿Êý¾Ý£©¡¢µÚÈý·½¼ì²â»ú¹¹µÈÏà¹Ø²¿·ÖÆóÒµ ¡£

Ïà¹Ø²úÆ·

ÁªÏµÎ°µÂ¹ú¼Ê1946¹Ù·½Íø

Ïàʶ¸ü¶àÏêϸÐÅÏ¢ £¬ÇëÖµç
400-7102-888
·ÇÊÂÇéʱ¼ä·þÎñÈÈÏß
139 1323 1381
¸øÎÒÃÇÁôÑÔ
ÔÚÏßÁôÑÔ
΢ÐÅÊÛºó·þÎñ¶þάÂë

ÍøÕ¾µØÍ¼